深圳市法士威精密零件有限公司

全国服务热线:0755-29766626

新闻中心 关于法士威 联系法士威

365app澳门下载手机版

紧固件冷镦成形工艺,一次给你讲清楚

紧固件成形工艺中,冷镦(挤)技术是一种主要加工工艺。冷镦(挤)属于金属压力加工范畴。在生产中,在常温状态下,对金属施加外力,使金属在预定的模具内成形,这种方法通常叫冷镦。

今天我们来全面了解一下紧固件冷镦成形工艺。

任何紧固件的成形,不单是冷镦一种变形方式能实现的,它在冷镦过程中,除了镦粗变形外,还伴随有正、反挤压、复合挤压、冲切、辗压等多种变形方式。因此,生产中对冷镦的叫法,只是一种习惯性叫法,更确切地说,应该叫做冷镦(挤)。

冷镦(挤)的优点很多,适用于紧固件的大批量生产。主要优点概括为以下几个方面:

a.钢材利用率高。

冷镦(挤)是一种少、无切削加工方法,如加工杆类的六角头螺栓、圆柱头内六角螺钉,采用切削加工方法,钢材利用率仅在25%~35%,而用冷镦(挤)方法,它的利用率可高达85%~95%,仅是料头、料尾及切六角头边的一些工艺消耗。

b.生产率高。

与通用的切削加工相比,冷镦(挤)成型效率要高出几十倍以上。

c.机械性能好。

冷镦(挤)方法加工的零件,由于金属纤维未被切断,因此强度要比切削加工的优越得多。

d.适于自动化生产。

适宜冷镦(挤)方法生产的紧固件(也含一部分异形件),基本属于对称性零件,适合采用高速自动冷镦机生产,也是大批量生产的主要方法。

总之,冷镦(挤)方法加工紧固件、异形件是一种综合经济效益相当高的加工方法,是紧固件行业中普遍采用的加工方法,也是一种在国内、外广为利用、很有发展的先进加工方法。

因此,如何充分利用、提高金属的塑性、掌握金属塑性变形的机理、研制出科学合理的紧固件冷镦(挤)加工工艺,是研究的目的和宗旨所在。

一、金属变形的基本概念

变 形

变形是指金属受力(外力、内力)时,在保持自己完整性的条件下,组成本身的细小微粒的相对位移的总和。

1 变形的种类

a.弹性变形。金属受外力作用发生了变形,当外力去掉后,恢复原来形状和尺寸的能力,这种变形称为弹性变形。弹性的好坏是通过弹性极限、比例极限来衡量的。

b.塑性变形金属在外力作用下,产生永久变形(指去掉外力后不能恢复原状的变形),但金属本身的完整性又不会被破坏的变形,称为塑性变形。塑性的好坏通过伸长率、断面收缩率、屈服极限来表示。

2 塑性的评定方法

塑性的好坏通过伸长率、断面收缩率、屈服极限来表示。为了评定金属塑性的好坏,常用一种数值上的指标,称为塑性指标。塑性指标是以钢材试样开始破坏瞬间的塑性变形量来表示,生产实际中,通常用以下几种方法:

(1)拉伸试验。拉伸试验用伸长率δ和断面收缩率ψ来表示。表示钢材试样在单向拉伸时的塑性变形能力,是金属材料标准中常用的塑性指标。δ和ψ的数值由以下公式确定:

001

式中:L0、Lk——拉伸试样原始标距、破坏后标距的长度。F0、Fk——拉伸试样原始、破断处的截面积。

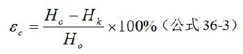
(2)镦粗试验又称压扁试验。它是将试样制成高度Ho为试样原始直径Do的1.5倍的圆柱形,然后在压力机上进行压扁,直到试样表面出现第1条肉眼可观察到的裂纹为止,这时的压缩程度εc为塑性指标。其数值按下式可计算出:

002

式中Ho——圆柱形试样的原始高度。Hk——试样在压扁中,在侧表面出现第1条肉眼可见裂纹时的试样高度。扭转试验是以试样在扭断机上扭断时的扭转角或扭转圈数来表示的。生产中最常用的是拉伸试验和镦粗试验。不管哪种试验方法,都是相对于某种特定的受力状态和变形条件的。由此所得出的塑性指标,只是相对比较而言,仅说明某种金属在什么样的变形条件下塑性的好坏。

3 影响金属塑性及变形抗力主要因素

金属的塑性及变形抗力的概念:金属的塑性可理解为在外力作用下,金属能稳定地改变自己的形状而质点间的联系又不被破坏的能力;并将金属在变形时反作用于施加外力的工模具的力称为变形抗力。影响金属塑性及变形抗力的主要因素包括以下几个方面:

a.金属组织及化学成分对塑性及变形抗力的影响金属组织决定于组成金属的化学成分,其主要元素的晶格类别,杂质的性质、数量及分布情况。组成元素越少,塑性越好。例如纯铁具有很高的塑性。碳在铁中呈固熔体也具有很好的塑性,而呈化合物,则塑性就降低。如化合物Fe3C实际上是很脆的。一般在钢中其他元素成分的增加也会降低钢的塑性。钢中随含碳量的增加,则钢的抗力指标(бb、бp、бs等)均增高,而塑性指标(ε、ψ等)均降低。在冷变形时,钢中含碳量每增加0.1%,其强度极限бs大约增加6~8kg/mm2。硫在钢中以硫化铁、硫化锰存在。硫化铁具有脆性,硫化锰在压力加工过程中变成丝状得到拉长,因而使在与纤维垂直的横向上的机械指数降低。所以硫在钢中是有害的杂质,含量愈少愈好。磷在钢中使变形抗力提高,塑性降低。含磷高于0.1%~0.2%的钢具有冷脆性。一般钢的含磷量控制在百分之零点零几。其他如低熔点杂质在金属基体的分布状态对塑性有很大影响。总之,钢中的化学成分愈复杂,含量愈多,则对钢的抗力及塑性的影响也就愈大。这正说明某些高合金钢难于进行冷镦(压)加工的原因。

b.变形速度对塑性及变形抗力的影响变形速度是单位时间内的相对位移体积:

004

不应将变形速度与变形工具的运动速度混为一谈,也应将变形速度与变形体中质点的移动速度在概念上区别开来。一般说来,随着变形速度增加,变形抗力增加,塑性降低。冷变形时,变形速度的影响不如热变形时显著,这是由于无硬化消除的过程。但当变形速度特别大时,塑性变形产生的热(即热效应)不得失散本身温度升高会提高塑性、减少变形抗力。

c.应力状态对塑性及变形抗力的影响在外力作用下,金属内部产生内力,其单位面积之强度称之为应力。受力金属处于应力状态下。从变形体内分离出一个微小基元正方体,在所取的正方体上,作用有未知大小但已知方向的应力,把这种表示点上主应力个数及其符号的简图叫主应力图。表示金属受力状态的主应力图共有九种,其中四个为三向主应力图,三个为平面主应力图,两个为单向主应力图,如图36-1所示。

005

主应力由拉应力引起的为正号,主应力由压应力引起的为负号。在金属压力加工中,最常遇到的是同号及异号的三向主应力图。在异号三向主应力图中,又以具有两个压应力和一个拉应力的主应力图为最普遍。同号的三向压应力图中,各方向的压应力均相等时(б1=б2=б3),并且金属内部没有疏松及其它缺陷的条件下,理论上是不可产生塑性变形的,只有弹性变形产生。

不等的三向压应力图包括的变形工艺有:体积模锻、镦粗、闭式冲孔、正反挤压、板材及型材轧制等。在生产实际中很少迂到三向拉伸应力图,仅在拉伸试验中,当产生缩颈时,在缩颈处的应力线,是三向拉伸的主应力图,如图36-2所示。

006


在镦粗时,由于摩擦的作用,也呈现出三向压应力图,如图36-3所示。总之,受力金属的应力状态中,压应力有利于塑性的增加,拉应力将降低金属的塑性。

d.冷变形硬化对金属塑性及变形抗力的影响金属经过冷塑性变形,引起金属的机械性能、物理性能及化学性能的改变。随着变形程度的增加,所有的强度指标(弹性极限、比例极限、流动极限及强度极限)都有所提高,硬度亦有所提高;塑性指标(伸长率、断面收缩率及冲击韧性)则有所降低;电阻增加;抗腐蚀性及导热性能降低,并改变了金属的磁性等等,在塑性变形中,金属的这些性质变化的总和称作冷变形硬化,简称硬化。

e.附加应力及残余应力的影响在变形金属中应力分布是不均匀的,在应力分布较多的地方希望获得较大的变形,在应力分布较少的地方希望获得较小的变形。由于承受变形金属本身的完整性,就在其内部产生相互平衡的内力,即所谓附加应力。当变形终止后,这些彼此平衡的应力便存在变形体内部,构成残余应力,影响以后变形工序中变形金属的塑性和变形抗力。

4 提高金属塑性及降低变形抗力的措施

针对影响金属塑性及变形抗力的主要因素,结合生产实际,采取有效的工艺措施,是完全可以提高金属塑性及降低其变形抗力的,生产中,常采取的工艺措施有:

a.坯料状况冷镦用原材料,除了要求化学成份、组织均匀,不要有金属夹杂等以外,一般要对原材料进行软化退火处理,目的在于消除金属轧制时残留在金属内部的残余应力,使组织均匀,降低硬度,要求冷镦前金属的硬度HRB≤80。对中碳钢,合金钢一般采取球化退火,目的是除消除应力、使组织均匀外,还可改善金属的冷变形塑性。

b.提高模具光滑度及改善金属表面润滑条件这两项措施都是为了降低变形体与模具工作表面的摩擦力,尽可能降低变形中由于摩擦而产生的拉应力。

c.选择合适的变形规范在冷镦(挤)工艺中,一次就镦击成形的产品很少,一般都要经过两次及两次以上的镦击。因此必须做到每次变形量的合理分配,这不仅有利于充分利用金属的冷变形塑性,也有利于金属的成形。如生产中采用冷镦、冷挤复合成形、螺栓的两次缩径、螺母的大料小变形等。

二、金属塑性变形的基本规律

1 最小阻力定律

金属在变形中,变形体的质点有向各方向移动的可能,变形体质点的移动是沿其最小阻力方向移动,称为最小阻力定律。在六角头螺栓多工位冷镦中,第二工位精镦时,金属向上、下模开口处流动并形成飞边是最小阻力定律起作用的体现。图36-4表明坯件在模具中镦锻时,它在充满上、下模腔的同时还向上、下模构成的间隙向四周流,只有当往飞边流动的阻力大于在模腔其它部分的阻力时,金属充满模腔才有可能。在上模向下运动中,飞边上金属流动阻力随飞边厚度的减小而增加,这时才能保证最后充满上、下模腔。

007


2 体积不变定律

金属塑性变形中,其密度改变极为微小,可以忽略。塑性变形的物体之体积保持不变,金属坯件在塑性变形以前的体积等于变形后的体积。体积不变定律是根据产品形状尺寸、计算出体积,据此再确定所需坯件的具体尺寸。最小阻力定律则是金属变形次数如何确定,每次变形量如何分配、工模具结构形状确定的设计最主要的依据。

3 变形中影响金属流动的主要因素

a.摩擦的影响在变形中模具和坯件间的接触面上不可避免的有摩擦力存在,由于摩擦力的作用,改变了金属流动的特征。如图36-5所示,在平板间镦粗矩形坏料时,由于摩擦力的作用,使各向阻力不同,变形中,断面不能继续保持矩形。按最小阻力定律,它会逐渐趋于圆形。若无摩擦力作用,则坯件处于理想的均匀变形状态,变形前后在几何形状上仍然相似。

008

当无摩擦时,环形件在高度上被压缩,根据体积不变条件,不论是外层还是内层,金属的直径都有所增加,即所有金属都沿径向辐射状向外流动。由于有摩擦的存在,流动受到阻碍。

a.越接近内层金属向外流动的阻力越大,比向内流动时还要大,因而改变了流动的方向,如图所示,在环形件中出现了流动的分界面(dN)。

b.工模具形状的影响由于工模具形状不同,所施加给坯件的作用力,以及模具与坯件接触的摩擦力也不一样,引致金属在各方向流动阻力的差异,从而金属在各方向流动体积的分配也有所差异。

c.金属本身性质不均的影响金属本身的性质不均,反映出金属成份的不均、组织不均、以及在变形中内部温度的不均等。

这些性质的不均匀性,在金属内部出现互相平衡的附加应力,由于内力的存在,使金属在各自流动的阻力有所差异,变形首先发生在阻力最小的部分。

回到顶部

0755-29766626

在线咨询

关注我们

二维码
Baidu
map